Дефицит – прием мощный. Ограничения в стиле «одна бутылка в одни руки» увеличивают вероятность покупки. Доказано не только очередями в СССР, которые мне удалось застать лично, но и многочисленными исследованиями.
Если мы видим, что чего-то мало – так и хочется купить. В психологии это называют феноменом реактивного сопротивления. Когда человек считает, что его свобода ограничена, возникает сильное желание противостоять этому ограничению.
Однако в голове прочно сидит лимит – это что-о маленькое. В целом логично – странно устанавливать ограничение выше принятых норм потребления. Только рациональность – не главное, когда речь идет о мозге.
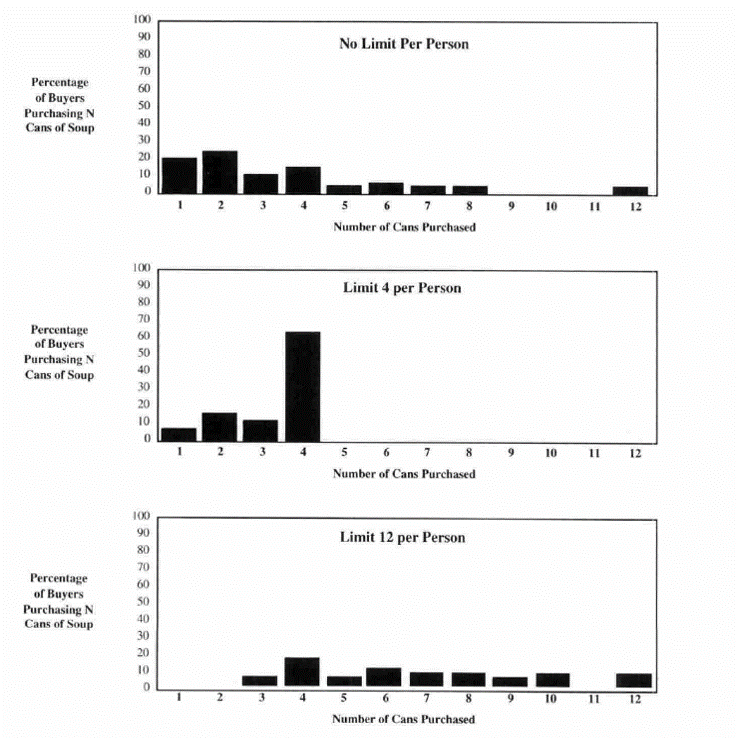
Так что в трех супермаркетах Айовы замутили исследование с консервированным супом Кэмпбел (да-да, мои знатоки современного искусства – с тем самым). Поставили умеренную скидку в 12% и стали тестировать один из трех лимитов: «Без ограничения», «Лимит 4 банки на человека» или «Лимит 12 на человека». В общем, смешивались эффекты дефицита и якорения.
Если ограничений не было, то в среднем покупатели приобретали по 3,3 банки супа. Лимит в 4 штуки, близкий к "нормальному" уровню, работал слабо – покупки увеличились до 3,5.
А вот абсурдный лимит в 12 банок задал новую норму. "Наверное, другие закупаются по крупному, раз стоит такое ограничение. Значит, это выгодное предложение, мне тоже следует взять побольше". В общем, среднее количество купленных банок взлетело до 7 штук — рост на 112%.
Работает и без скидки – исследовались якоря в силе «купи себе 18 батончиков сникерс и положи в морозилку» - продажи выросли вдвое.
Не бойтесь устанавливать «высокие» лимиты, особенно на "расходники" наподобие продуктов питания или бытовой химии.
Новые посты каждый день - в моем блоге "Психология Маркетинга" в Telegram
или в мессенджере MAX: https://max.ru/marketpsy
Если мы видим, что чего-то мало – так и хочется купить. В психологии это называют феноменом реактивного сопротивления. Когда человек считает, что его свобода ограничена, возникает сильное желание противостоять этому ограничению.
Однако в голове прочно сидит лимит – это что-о маленькое. В целом логично – странно устанавливать ограничение выше принятых норм потребления. Только рациональность – не главное, когда речь идет о мозге.
Так что в трех супермаркетах Айовы замутили исследование с консервированным супом Кэмпбел (да-да, мои знатоки современного искусства – с тем самым). Поставили умеренную скидку в 12% и стали тестировать один из трех лимитов: «Без ограничения», «Лимит 4 банки на человека» или «Лимит 12 на человека». В общем, смешивались эффекты дефицита и якорения.
Если ограничений не было, то в среднем покупатели приобретали по 3,3 банки супа. Лимит в 4 штуки, близкий к "нормальному" уровню, работал слабо – покупки увеличились до 3,5.
А вот абсурдный лимит в 12 банок задал новую норму. "Наверное, другие закупаются по крупному, раз стоит такое ограничение. Значит, это выгодное предложение, мне тоже следует взять побольше". В общем, среднее количество купленных банок взлетело до 7 штук — рост на 112%.
Работает и без скидки – исследовались якоря в силе «купи себе 18 батончиков сникерс и положи в морозилку» - продажи выросли вдвое.
Не бойтесь устанавливать «высокие» лимиты, особенно на "расходники" наподобие продуктов питания или бытовой химии.
Новые посты каждый день - в моем блоге "Психология Маркетинга" в Telegram
или в мессенджере MAX: https://max.ru/marketpsy